Home Favorites My Account Menu
авторизоваться

Скачать рабочий лист

Бесплатные рабочие листы по math по теме Соответствие гистограмм. В каждом листе 9 заданий с ответами; подходит для учителей и домашнего обучения. Вы можете скачать PDF, создать карточки или использовать для онлайн-обучения.

Рекламное объявление
Select a Different Activity >
Информация о листе >
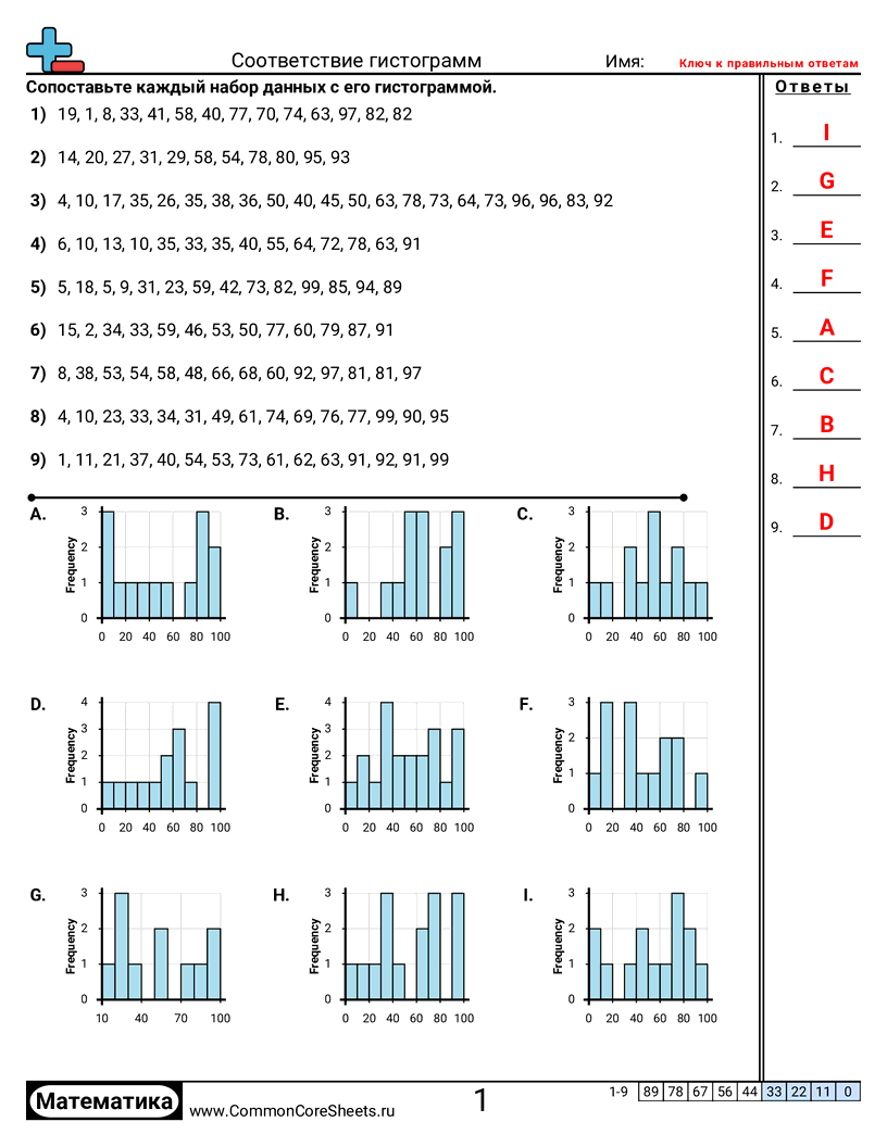
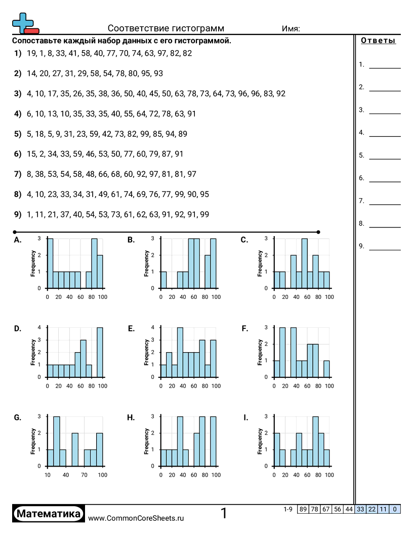
Сопоставление гистограмм
Открыть PDF
Настроить предварительный просмотр
открыть в новом окне
Выберите рабочий лист
страницы
язык
Макет листа>
Seed
заглавие
инструкции
Количество проблем
Срок оплаты
Включить стандарт на лист
Шрифт
Размер шрифта pt
Минимум места под проблемами mm
Колонка ответов
Problem Number
ориентация листа
Рекламное объявление